View Issue Details Jump to Notes ] Print ]
IDProjectCategoryView StatusDate SubmittedLast Update
0014361ParaView(No Category)public2013-10-25 10:462016-08-12 09:59
ReporterAndy Bauer 
Assigned ToUtkarsh Ayachit 
PrioritynormalSeverityminorReproducibilityhave not tried
StatusclosedResolutionmoved 
PlatformOSOS Version
Product Versiongit-master 
Target VersionFixed in Version 
Summary0014361: file series reader not working properly for 5000 vtu files
DescriptionIf I create the 5000 vtu files with the following python script I have trouble reading them back in to paraview:
===============
try: paraview.simple
except: from paraview.simple import *
paraview.simple._DisableFirstRenderCameraReset()
Wavelet1 = Wavelet()
Wavelet1.WholeExtent = [0, 5, 0, 5, 0, 5]
Clip1 = Clip( ClipType="Plane" )
Clip1.Scalars = ['POINTS', 'RTData']
Clip1.ClipType.Origin = [2.5, 2.5, 2.5]
Clip1.ClipType = "Plane"
Clip1.Value = 132.19195199012756
Calculator1 = Calculator()
w = XMLUnstructuredGridWriter()
for i in range(5001):
    Calculator1.Function = str(i)
    name = "phi0" + format(i, "05d") + "000000.vtu"
    print name, Calculator1.Function
    w.FileName = name
    w.UpdatePipeline()
============

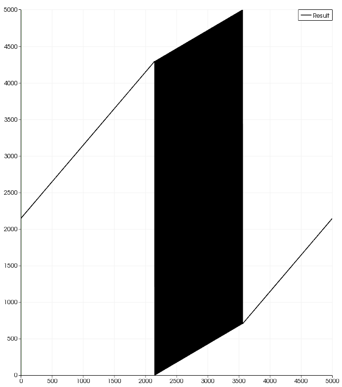
The problem is easily demonstrated by loading in the files and then selecting a point and using the plot selection over time. This was done with a ParaView version from the repo around 10/15/2013. The image is the result that I got but should be a straight line.
TagsNo tags attached.
ProjectTBD
Topic Name
Typeincorrect functionality
Attached Filespng file icon badfileseriesreader.png [^] (1,635,501 bytes) 2013-10-25 10:46

 Relationships

  Notes
(0038454)
Kitware Robot (administrator)
2016-08-12 09:59

Resolving issue as `moved`.

This issue tracker is no longer used. Further discussion of this issue may take place in the current ParaView Issues page linked in the banner at the top of this page.

 Issue History
Date Modified Username Field Change
2013-10-25 10:46 Andy Bauer New Issue
2013-10-25 10:46 Andy Bauer Assigned To => Utkarsh Ayachit
2013-10-25 10:46 Andy Bauer File Added: badfileseriesreader.png
2016-08-12 09:59 Kitware Robot Note Added: 0038454
2016-08-12 09:59 Kitware Robot Status backlog => closed
2016-08-12 09:59 Kitware Robot Resolution open => moved


Copyright © 2000 - 2018 MantisBT Team